Conservation Biology
Wed Jan 21, 2026
Conservation Biology - Wed Jan 21, 2026
3: Biodiversity Concepts and Measures


How do we define the boundary of that geographical area?

Individuals all have the same set of homologous chromosomes.
The ____ on those chromosomes are represented by different ____.

Individuals all have the same set of homologous chromosomes.
The genes on those chromosomes are represented by different alleles.

____ are different forms of the same ____.

Alleles are different forms of the same gene.
We could also describe them as sequences of DNA that are found on the same gene ______.

Alleles are different forms of the same gene.
We could also describe them as sequences of DNA that are found on the same gene locus.

For the F2 Generation:

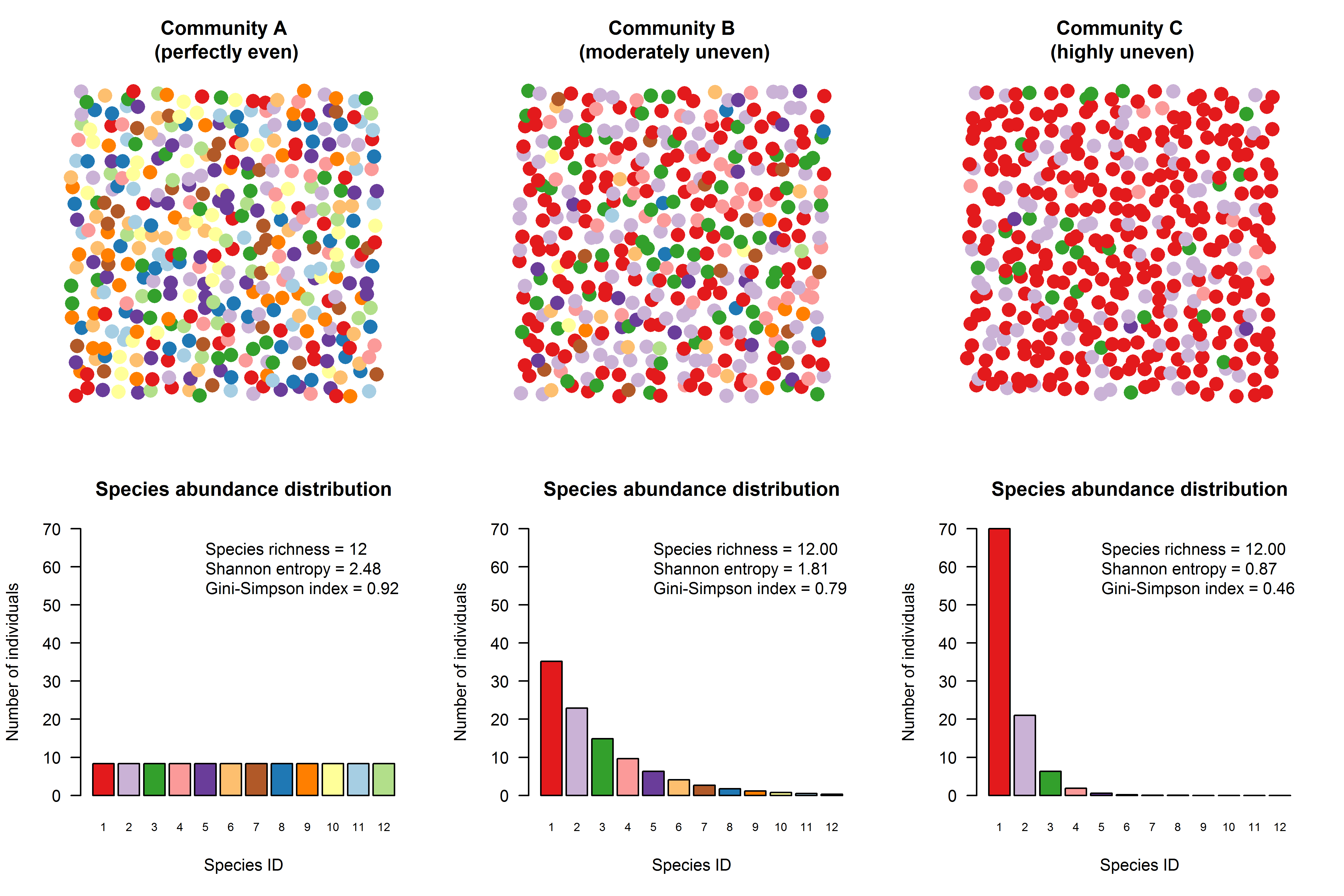
Run through this example from your textbook on your own to make sure you understand what these metrics represent.


N samples
Fit to data from an Accumulation curve to estimate how many species there might be.
N samples
At which site would you expect to document more species?
How can we test whether site differences are meaningful?
We can rarefy our counts.



N samples

If funds were available to protect only one mountain range, which should be selected?
If funds were available to protect only one mountain, which should be selected?
If region 3 were selected for protection:
The relative priority of the individual mountains should then be judged based on the relative rarity of the assemblages.